Bridging the Mass Gap: Chemical Complexity from Low- to High-Mass Star Formation

Stars are born in clouds of gas and dust, and the chemistry in these birthplaces can tell us a lot about how stars form. Scientists have studied the chemical makeup around small young stars, like our sun, or very massive ones with great detail. But what about the stars in between? A team of international researchers, led by Dr. Kotomi Taniguchi from the National Astronomical Observatory of Japan and Dr. Prasanta Gorai from the University of Oslo, has now taken a closer look at this “missing middle.” The results show that these medium-sized baby stars are just as chemically rich as their smaller and bigger cousins. The team found a great variety of molecules, including carbon-chain molecules—linear/nearly linear chains of carbon atoms—as well as complex organic molecules, which are more complex carbon-based compounds thought to be the building blocks of life.

They’ve studied 11 young stars that are two to eight times heavier than our sun, known as intermediate-mass protostars. Their findings, recently published in Astronomy & Astrophysics, reveal that these stars are surrounded by a surprising variety of molecules, and are specifically abundant in carbon chains in the low-frequency range (Q band or ALMA Band 1). The team used the Yebes 40-meter radio telescope in Spain (Fig.1) to “listen” to the faint radio signals coming from the gas around these young stars. By looking at the light in the 31.5–50 GHz range, researchers could identify what kinds of molecules are floating around the stars—much like reading a chemical fingerprint.

 

Fig.1 Yebes 40m telescope 

Credit: Wikipedia

 

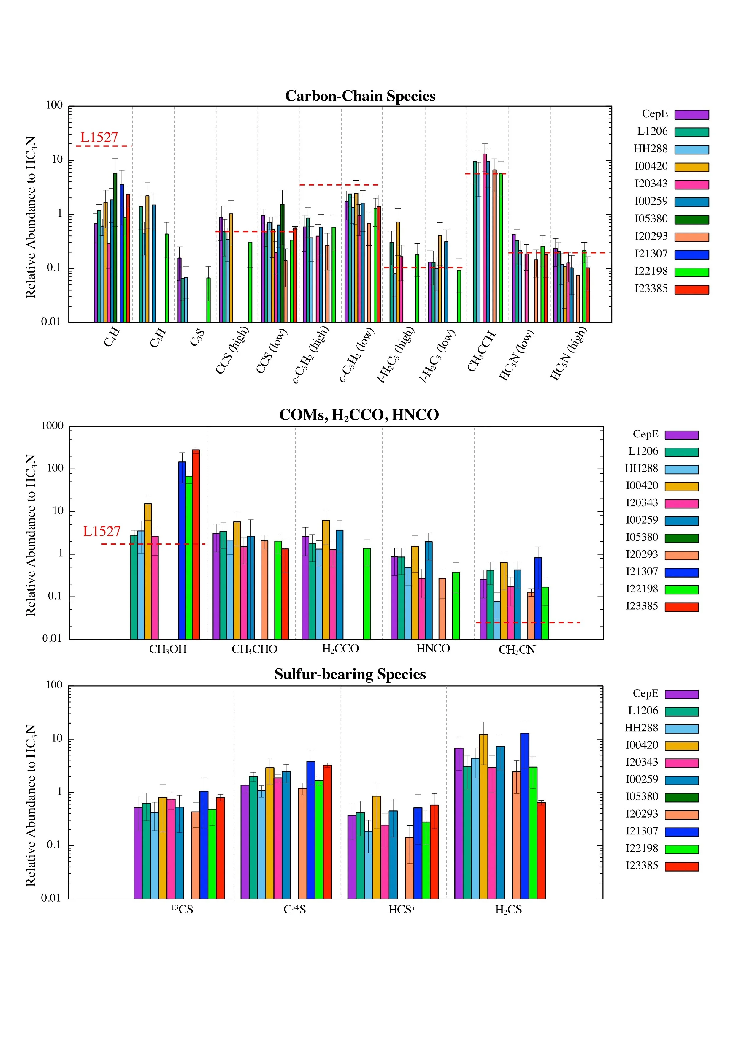
Why does chemical diversity matter? By studying the types of molecules we find can tell us how the star is growing, as well as how its surrounding environment has changed over time. Until now, only a handful of works have looked at chemical complexity for intermediate-mass stars within the low-frequency domain. Interestingly, each of the 11 stars had a slightly different mix of chemicals (Fig.2). This shows that chemical diversity is common, even among stars of similar mass. In other words, each star has its own chemical “story.” A comparison with a well-known low-mass star, shown in Figure 1 of the study, highlights these differences. The colored bars represent the new stars, while the red dashed line shows the older data from the low-mass star.

Fig.2: Comparisons of molecular abundances with respect to HC3N for carbon-chain species (top), and complex organic molecules, H2CCO, and HNCO (bottom). Errors indicate the standard deviation. In the caption, “high” and “low” indicate the high and low temperature components. The dashed red lines mark the abundance ratios for the low-mass WCCC source L1527

Credit: Yoshida et al. 2019

These new observations help scientists understand how chemistry and physics work together in the birth of stars—and how the “ingredients” available in young planetary systems may vary widely, even before planets are born.

Original Contributor

Dr. Kotomi Taniguchi

ALMA Project, National Astronomical Observatory of Japan

Editors

Katy Wetzel

Science Editor

Mélisse Bonfand

Science Editor

Annika Geiger

Senior Editor

Brielle Shope

Editor-in-Chief

Yassin Jaziri

Dr. Yassin Jaziri is postdoc from the Laboratory for Atmospheres, Environments, and Space Observations (LATMOS) in Paris, working on the modelisation and characterisation of exoplanetary atmospheres.

Previous
Previous

Artificial Intelligence at the Service of Astrochemistry

Next
Next

A Deep Search for Complex Organic Molecules Around the V883 Ori Protoplanetary Disk